欢迎访问巨鹿人民政府网站

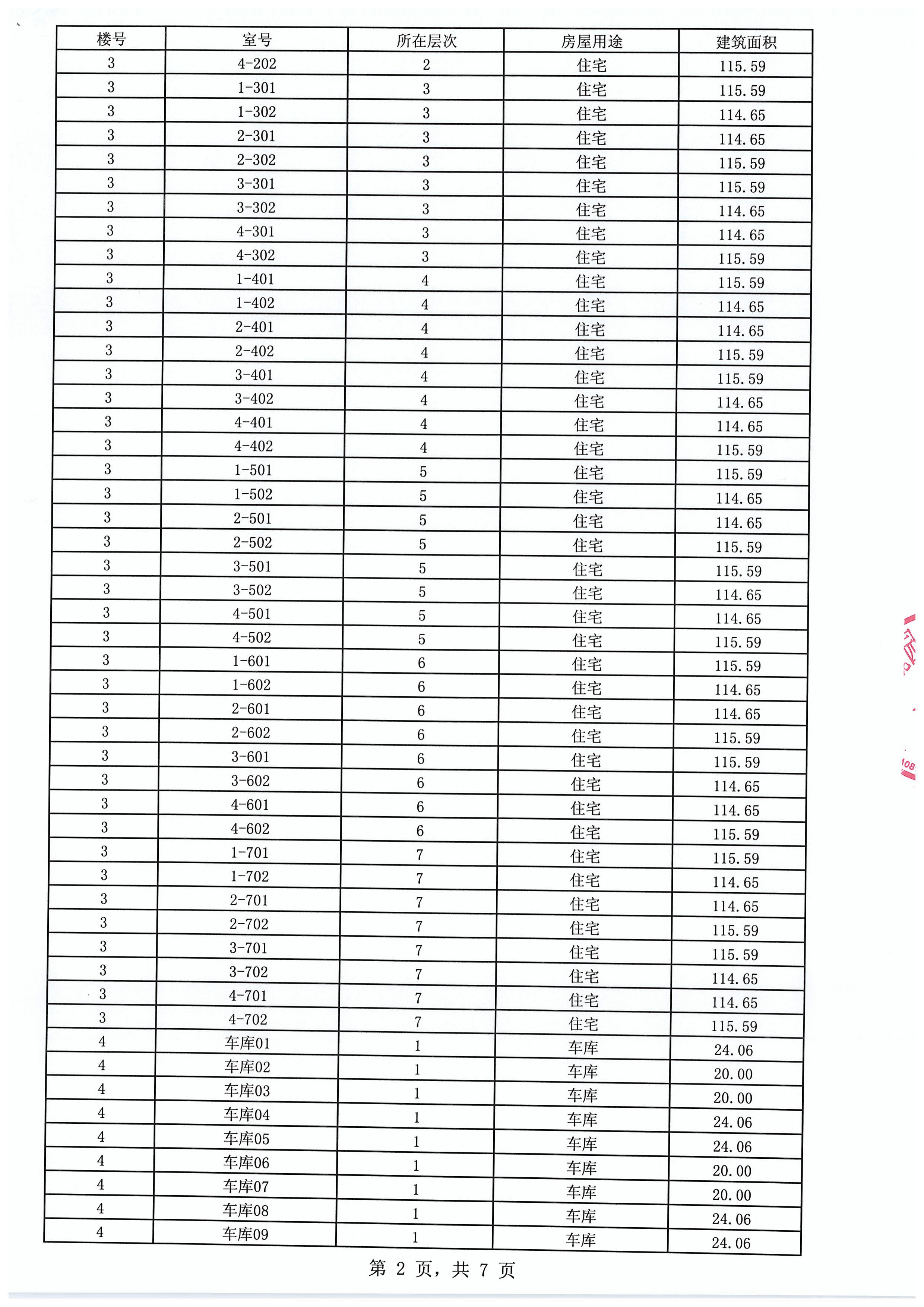
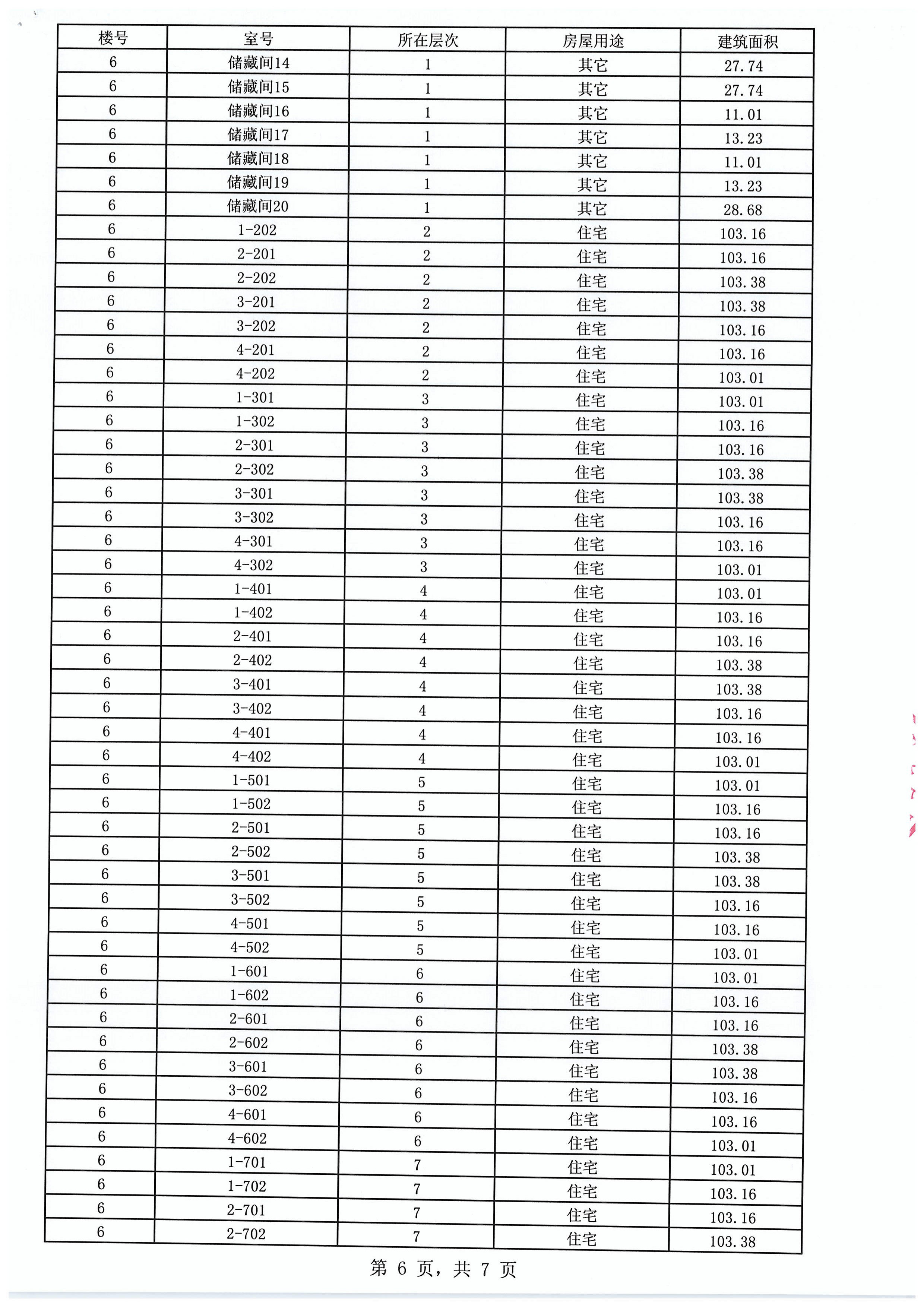
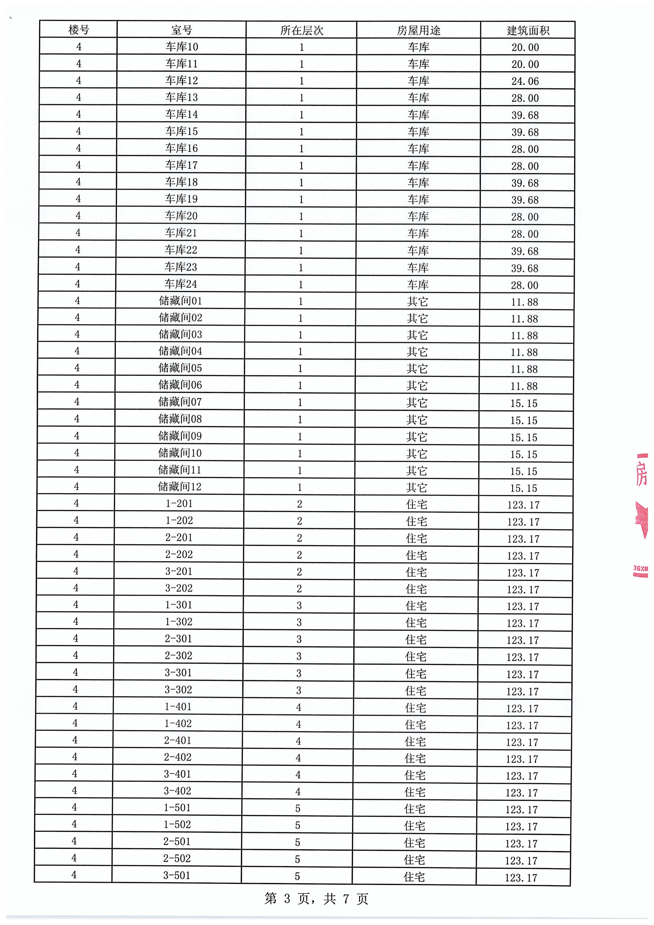
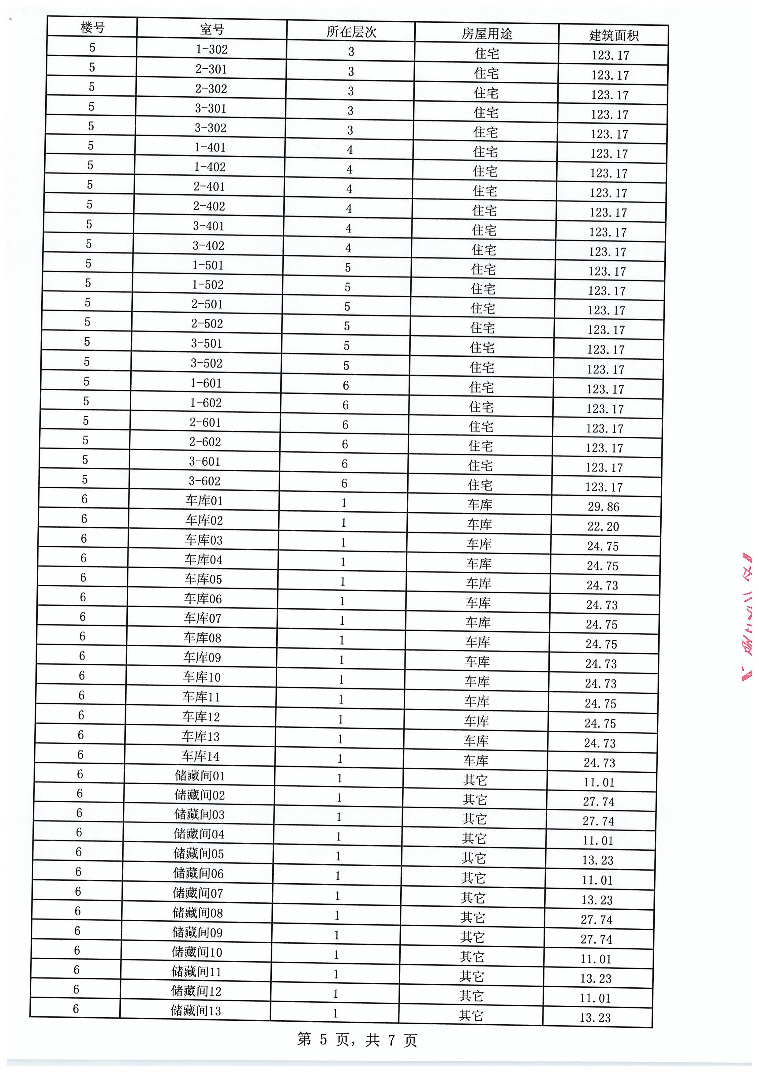
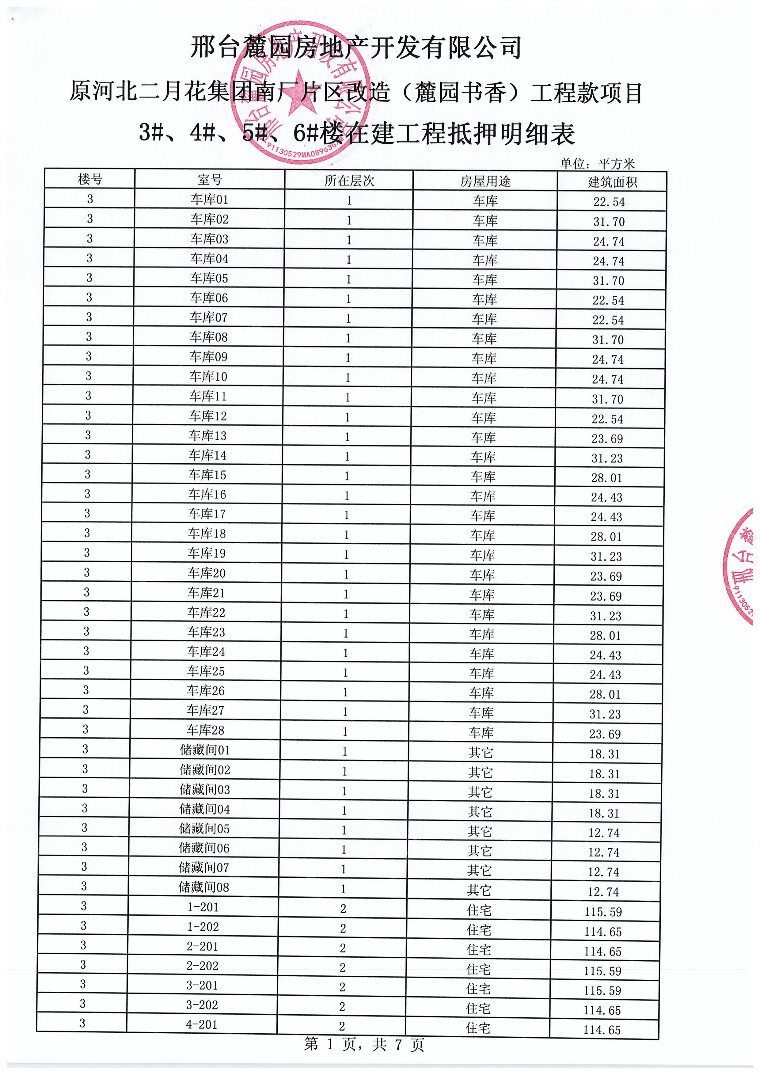
邢台麓园房地产开发有限公司在建工程抵押登记公告

发布时间:2022-04-11  发布机构:巨鹿县自然资源和规划局  浏览次数:50  字体:[  ]

体裁分类:公告公示  主题分类:国土资源、能源  索引号:jlxly/1650354770260

img-220419154943-0001.jpg

img-220419154943-0002.jpg

img-220419154943-0003.jpg

img-220419154943-0004.jpg

img-220419154943-0005.jpg

img-220419154943-0006.jpg

img-220419154943-0007.jpg

img-220419154943-0008.jpg