关于对乡镇就业帮扶专岗人员补贴的公示
发布时间:2025-12-10 发布机构:巨鹿县人力资源和社会保障局 浏览次数:24 字体:[大 中 小]
体裁分类:公告公示 主题分类:其他 索引号:jlxrsj/1765355339936
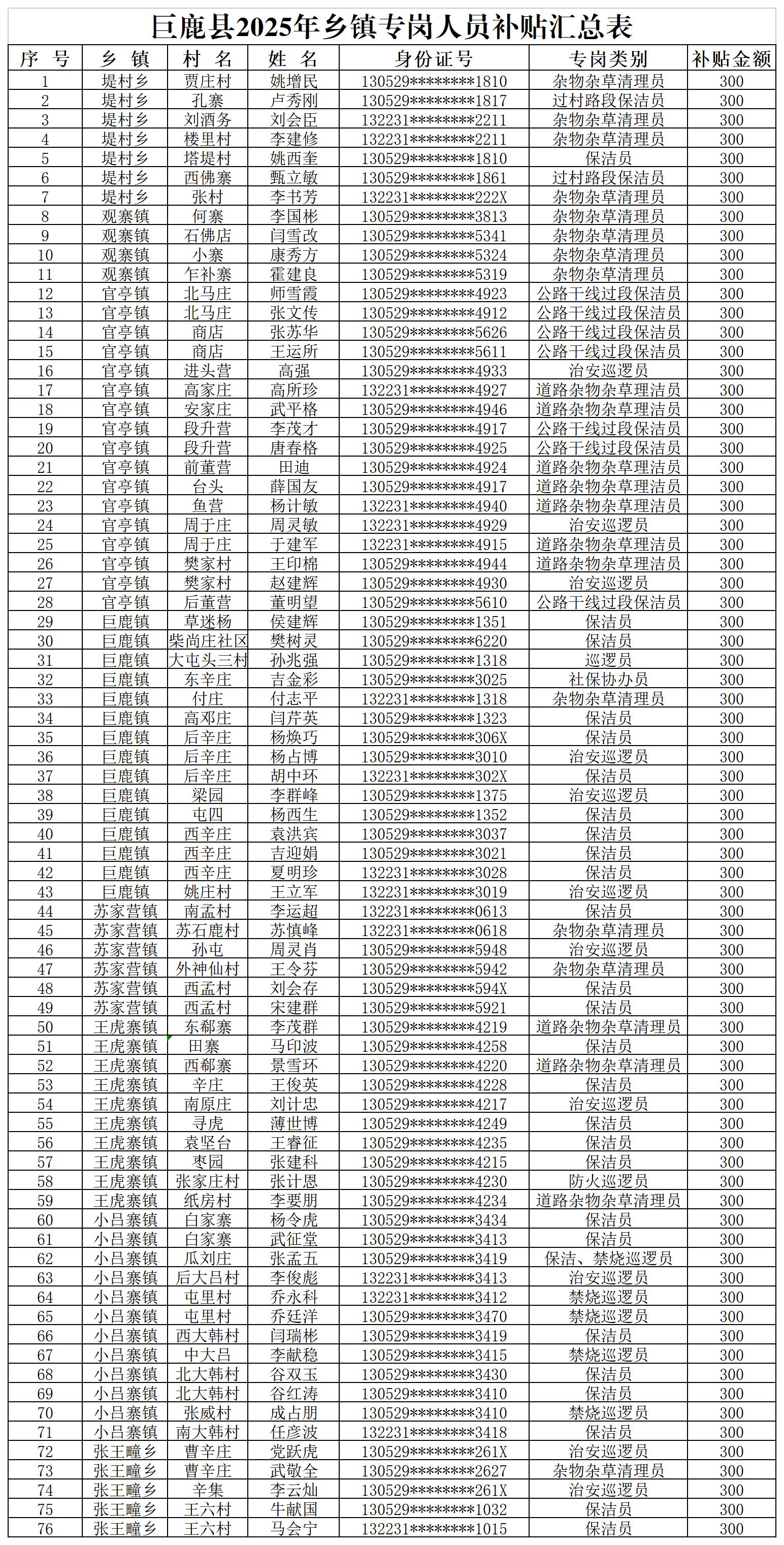
根据《巨鹿县就业扶贫专岗开发管理实施办法》(巨政办字[2019]19号)文件规定,我局现对姚增民等76名乡镇就业帮扶专岗人员补贴情况进行公示,公示期为3个工作日,如有异议,请以信件、电话、传真等形式向巨鹿县就业服务中心就业服务部反映,信件以收到之日为准。
公示时间:2025年12月10日—2025年12月12日
联系电话:0319—4323338(传真)
2025年12月10日
附件:
